- with COVER IP20
*B.75 - Dimension on demand
Distance between slots: 50mm

| 01 | Galvanization (Sendzimir method) - UNI EN 10346 | |
| 03 | Hot dip galvanizing - UNI EN ISO 1461 | |
| 11 | Grey RAL 7032 - ISO9227-ISO6270-ISO2810 | |
| 15 | Blue RAL 5015 - ISO9227-ISO6270-ISO2810 | |
| 40 | Stainless steel AISI 304 - UNI EN 10088 | |
| 41 | Stainless steel AISI 316L - UNI EN 10088 |
Norm EN 50085-2-1
Cable trunking systems and cable ducting systems for electrical installations
Part 2-1: Cable trunking systems and cable ducting systems intended for
mounting on walls and ceilings.
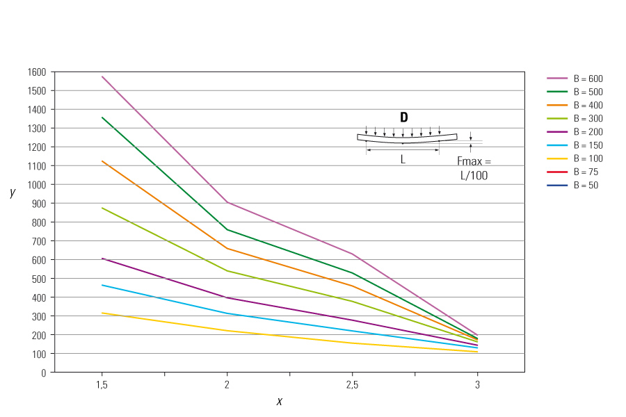
10.4 Linear deflection test
The test sample is subjected to an evenly distributed load of 1 g/mm2
metre length of the declared usable area for cables.
Norm EN 61537-1 ed.2007
Cable management
Cable tray systems and cable ladder systems
UL - file E471266
Attention: for ZT and ZM material sold/assembled in U.S.A. and Canada, please require UL mark

EN 61537-1
y= Max load (N/m)
x= Distance between supports (m)
D= Uniform load