Cover with Winged locks - Sendzimir galvanized and Peraluman aluminium
Preset for earthing plait and safety cord
50 Sendzimir basis +”peraluman” aluminium cover
(thickness 3,00 + 1,50mm)
Not walkable per UL standard

| 01 | Galvanization (Sendzimir method) - UNI EN 10346 | |
| 20 | Sendzimir galvanized 20/10 trampling | |
| 50 | Sendzimir basis+peraluman aluminium Cover |
UL - file E471266
Attention: for ZT and ZM material sold/assembled in U.S.A. and Canada, please require UL mark

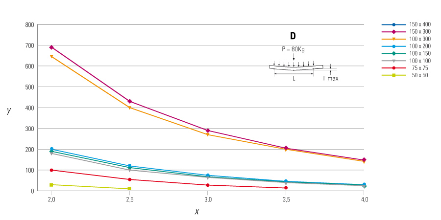
y= Max load (Kg/m)
x= Distance between supports (m)
D= Uniform load

y= Max load (Kg/m)
x= Distance between supports (m)
D= Uniform load + concentrated load 80Kg.