Trunking M0 052

Cover with Hinges and Clamps
Preset for earthing plait and safety cord

Dimension brush Thickness Weight Technical Info Code
H W (B) [mm] [Kg/m] L No. of hinges No. of clamps
50 50 1,20 2,27 2000 2 2 M0 052 0505
75 75 1,20 3,34 2000 2 2 M0 052 0707
100 100 1,20 4,29 2000 2 2 M0 052 1010
100 100 2,00 7,24 2000 2 2 M0 052 1010
100 150 1,50 6,61 2000 2 2 M0 052 1015
100 150 2,00 8,87 2000 2 2 M0 052 1015
100 200 1,50 7,83 2000 3 3 M0 052 1020
100 200 2,00 10,49 2000 3 3 M0 052 1020
100 300 1,50 10,24 2000 3 3 M0 052 1030
100 300 2,00 13,70 2000 3 3 M0 052 1030
100 400 2,00 16,89 2000 3 3 M0 052 1040
100 500 2,00 20,07 2000 3 3 M0 052 1050
100 600 2,00 23,28 2000 3 3 M0 052 1060
150 300 2,00 15,29 2000 3 3 M0 052 1530
150 400 2,00 18,49 2000 3 3 M0 052 1540

List of Coatings
brush
01 Galvanization (Sendzimir method) - UNI EN 10346
20 Sendzimir galvanized 20/10 trampling
Certified System

UL - file E471266
Attention: for ZT and ZM material sold/assembled in U.S.A. and Canada, please require UL mark

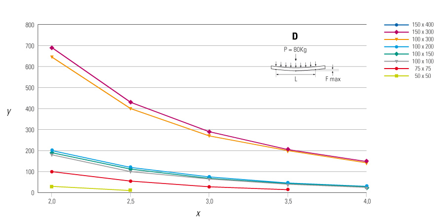
y= Max load (Kg/m)
x= Distance between supports (m)
D= Uniform load

y= Max load (Kg/m)
x= Distance between supports (m)
D= Uniform load + concentrated load 80Kg.

Hinged Trunking

Our “ZM” system is preset for hinged covers. It allows frequent inspections without removing the cover. In alternative to hinges, the system is preset for clamps (code M0 480).



×